Propriedades Físico-Mecânicas de Papel e Cartão: Resistência à Flexão ou Rigidez
Por Osvaldo Vieira, Diretor de Pesquisa & Desenvolvimento + Inovação da Química Nova Brasil
Em papel ou cartão utilizado para embalagem é necessária uma resistência adequada à flexão de forma a assegurar um bom desempenho na própria máquina de papel, na impressora e nas convertedoras. Por um lado, os materiais impressos suficientemente rígidos são mais fáceis de manusear e apresentam maior resistência durante a utilização da embalagem comparando com aqueles que apresentam baixa rigidez. Por outro lado, os papéis ou cartões utilizados para acondicionar alimentos líquidos ou outros produtos, tendo uma maior resistência à flexão, apresentam melhor desempenho nas máquinas envasadoras do produto final.
Em resumo, valores baixos desta propriedade em papéis ou cartão acarretam problemas de qualidade na embalagem, em termos de aparência, estabilidade e resistência. A resistência à flexão ou rigidez de papel ou cartão é o momento de flexão necessário para flexionar 15° de sua linha central a extremidade livre de uma amostra de 38,1 mm de largura, quando uma carga é aplicada 50 mm abaixo do seu ponto de fixação.
A gramatura é uma variável que controla, de forma primária, a resistência à flexão. Uma alta gramatura resulta em uma alta resistência à flexão, mas, usualmente, não é eficiente utilizar a gramatura com este objetivo, pois na prática (em termos econômicos) é desejado que esta variável tenha o menor valor possível, porém, claro, sem perda de qualidade.
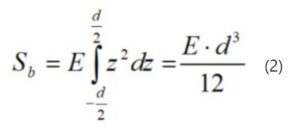
A resistência do cartão à flexão, ‘Sb’, é calculada a partir da expressão padrão para uma viga uniforme:

onde ‘z’ é a coordenada na direção da espessura e ‘E’ é o módulo de elasticidade do material. O valor de ‘z’ é igual a zero no plano neutro de resistência, onde não existe nenhuma tensão. Um caso especial é aquele com módulo de elasticidade constante, que resulta em,

onde ‘d’ é a espessura.
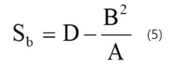
Deve ser notado que o módulo de elasticidade e a espessura do cartão são variáveis que estão acopladas. Como exemplo podemos observar que na operação de calandragem a diminuição de espessura resulta num aumento do módulo de elasticidade (‘E’ e ‘d’ variam inversamente). Portanto, tal operação diminui a resistência à flexão com a diminuição de ‘d’, mas, ao mesmo tempo, a aumenta com o correspondente aumento de ‘E’. Este acoplamento desaparece quando se utiliza o módulo de elasticidade específico (E/r=E.d/b), onde ‘r’ é a densidade do material e ‘b’ é a sua gramatura. Neste caso a equação (2) fica:

Desta forma a resistência à flexão varia durante a calandragem na proporção da espessura ao quadrado.
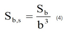
O índice de resistência à flexão é um outro parâmetro que possibilita a comparação de papéis e cartões com diferentes gramaturas. O índice ‘Sb,s’ é resultante da divisão da resistência à flexão pela gramatura elevada ao cubo:

As unidades da resistência à flexão e do índice de resistência à flexão são N.m e N.m7/kg3, respectivamente.
A melhor tecnologia disponível atualmente para fabricação de cartão utiliza o processo de confecção da folha em multicamadas, de forma a explorar as propriedades físicas de polpas oriundas de diferentes espécies de madeira e diferentes processos. Em tais papéis e cartões as propriedades elásticas variam descontinuamente na direção ‘z’ (espessura). A equação (2) não pode ser utilizada no cálculo da resistência à flexão de cartões multicamadas e a equação (1) indica que se cada camada é homogênea esta propriedade pode ser calculada do seguinte conjunto de equações,

onde

N é o número de camadas e ‘zi’ são as coordenadas na direção ‘z’ do cartão.
A mais simples e a mais importante das estruturas multicamada é a simétrica, com três camadas, na qual pode-se utilizar a seguinte equação para calcular a resistência à flexão,

onde ‘E2’ e ‘E1’ são os módulos de elasticidade das camadas meio e exteriores, respectivamente, e ‘d2’ e ‘d’ são as espessuras da camada meio e total.
















